openPR Recherche & Suche
Presseinformation

QBF Deutschland kündigt SAT Solver mit Polynomiallaufzeit an

31.01.201913:11 UhrIT, New Media & Software
Bild: QBF Deutschland kündigt SAT Solver mit Polynomiallaufzeit an
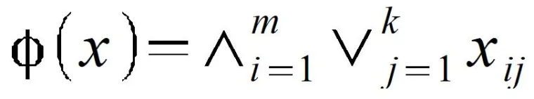
Mathematische Formulierung des SAT-Problems
Mathematische Formulierung des SAT-Problems

(openPR) Die Entwicklung von Algorithmen, die das Entscheidungsproblem der Aussagenlogik (SAT) in angemessener Zeit lösen können ist seit der Entdeckung von SAT Gegenstand größter Bemühungen.

Das Wiesbadener Unternehmen QBF Deutschland, welches im Bereich der Digitalisierung und Automatisierung Dienstleistungen für Unternehmen erbringt, beschäftigt sich in einem seiner Projekte mit der Entwicklung von Algorithmen, die als schwierig geltende Probleme zügig lösen können. SAT gilt dabei als “Urvater” der sogenannten NP-Probleme, da sich jedes dieser Probleme in ein solches Entscheidungsproblem umformulieren lässt. NP-Probleme sind, grob formuliert solche, die sich im Allgemeinen schwierig lösen lassen, jedoch ist es oftmals einfach eine gegebene Lösung auf ihre Richtigkeit zu überprüfen.

Es galt lange Zeit als umstritten, in großen Teilen der Community sogar als unmöglich, dass die sogenannten NP-Probleme in Polynomialzeit lösbar wären. Sollte sich nun herausstellen, dass der Algorithmus tatsächlich immer funktioniert, wird damit auch eine grundlegende Frage der theoretischen Informatik beantwortet werden, nämlich ob die NP-Probleme zu denjenigen gehören, die man als “praktisch lösbar” betrachtet.

Neben dem Algorithmus QBF 3-SAT Type 1, der bestimmte Probleme effizient lösen kann, hat das Team von QBF mit seinem Prototypen QBF 3-SAT Type 0 einen Algorithmus entwickelt, der bislang alle Probleme dieser Art in Polynomialzeit lösen konnte. Derzeit beschäftigt sich das “Team Mathematik und theoretische Informatik” mit der Konstruktion eines SAT Problems, das von dem Algorithmus nicht schnell gelöst werden kann. Sollte die Konstruktion dieses Problems allerdings scheitern, wird ein für alle mal geklärt sein, dass QBF's Algorithmus alle NP-Probleme praktisch lösen kann.

Der Inhaber von QBF Deutschland, Christopher Heiling kündigt unterdessen an, dass es keine Veröffentlichung des SAT Solvers geben wird, bevor ein mathematisch rigoroser Beweis für seine Funktionalität vorliegt und eine Abschätzung der Folgen für die Internetsicherheit erfolgt ist.

Diese Pressemeldung wurde auf openPR veröffentlicht.

Verantwortlich für diese Pressemeldung:

News-ID: 1035884
 862

Kostenlose Online PR für alle

Jetzt Ihren Pressetext mit einem Klick auf openPR veröffentlichen

Jetzt gratis starten

Pressebericht „QBF Deutschland kündigt SAT Solver mit Polynomiallaufzeit an“ bearbeiten oder mit dem "Super-PR-Sparpaket" stark hervorheben, zielgerichtet an Journalisten & Top50 Online-Portale verbreiten:

PM löschen PM ändern
Disclaimer: Für den obigen Pressetext inkl. etwaiger Bilder/ Videos ist ausschließlich der im Text angegebene Kontakt verantwortlich. Der Webseitenanbieter distanziert sich ausdrücklich von den Inhalten Dritter und macht sich diese nicht zu eigen. Wenn Sie die obigen Informationen redaktionell nutzen möchten, so wenden Sie sich bitte an den obigen Pressekontakt. Bei einer Veröffentlichung bitten wir um ein Belegexemplar oder Quellenennung der URL.

Pressemitteilungen KOSTENLOS veröffentlichen und verbreiten mit openPR

Stellen Sie Ihre Medienmitteilung jetzt hier ein!

Jetzt gratis starten

Weitere Mitteilungen von QBF

Bild: SAT Solver geht in offizielle Testphase – Algorithmus wird veröffentlichtBild: SAT Solver geht in offizielle Testphase – Algorithmus wird veröffentlicht
SAT Solver geht in offizielle Testphase – Algorithmus wird veröffentlicht
Der von QBF Deutschland vor einem Jahr angekündigte SAT Solver hat seine Feuertaufe überstanden. Das Wiesbadener Unternehmen QBF Deutschland kündigte Anfang 2019 einen SAT Solver an, der möglicherweise alle Instanzen des als schwierig geltenden Erfüllbarkeitsproblems der Aussagenlogik in polynomialer Laufzeit lösen kann. Vor einer Veröffentlichung des SAT Solvers sollte laut Unternehmen jedoch zunächst ein rigoroser mathematischer Beweis für das Funktionieren des zugrundeliegenden Algorithmus gefunden und die Auswirkungen auf die Internetsic…
Bild: Ist das Ende der Internetsicherheit erreicht?Bild: Ist das Ende der Internetsicherheit erreicht?
Ist das Ende der Internetsicherheit erreicht?
QBF Deutschland berichtete bereits Anfang des Jahres von der Entwicklung eines Algorithmus, der in der Lage sein soll, als schwierig geltende Probleme in kurzer Zeit zu lösen. Diese Entwicklung ist nun mit dem neuen QBF 3-SAT Type 2 oder kurz Q2 Algorithmus zu einem eindeutigen Ergebnis gekommen: Wir brauchen ein neues Sicherheitskonzept. Der Wiesbadener Unternehmensdienstleister QBF Deutschland kündigte bereits in der letzten Pressemitteilung an, dass eine Veröffentlichung des Algorithmus solange nicht in Betracht gezogen würde, bis die Fol…

Das könnte Sie auch interessieren:

Bild: Von der Idee zum eigenen UnternehmenBild: Von der Idee zum eigenen Unternehmen
Von der Idee zum eigenen Unternehmen
… Start-Ups bereits in unseren Reihen begrüßen zu dürfen", fährt er fort. QBF ermutigt alle Jungunternehmer, oder diejenigen, die es einmal werden wollen, zur Kontaktaufnahme über Ihre Webseite "www.qbf-deutschland.de" unter dem Menüpunkt "Start-Up Service". Eine einfache E-Mail genüge, um dem Traum vom eigenen Unternehmen ein Stückchen näher zu kommen.
Coverity\'s innovative SAT-Engine setzt Meilenstein bei Software-Codeanalyse
Coverity\'s innovative SAT-Engine setzt Meilenstein bei Software-Codeanalyse
… Qualitätssicherung von Software, kündigt eine auf Boolescher Satisfiability (SAT) basierende Software-Analyse-Engine an. Wesentlicher Bestandteil der neuen SAT-Engine ist der ‚False Path Pruning Solver’, der die hochakkurate Software DNA-Map nutzt, um automatisch und mit unübertroffener Genauigkeit komplexe Defekte im Quellcode aufzudecken. Dazu wird jeder …
Bild: SAT Solver geht in offizielle Testphase – Algorithmus wird veröffentlichtBild: SAT Solver geht in offizielle Testphase – Algorithmus wird veröffentlicht
SAT Solver geht in offizielle Testphase – Algorithmus wird veröffentlicht
Der von QBF Deutschland vor einem Jahr angekündigte SAT Solver hat seine Feuertaufe überstanden. Das Wiesbadener Unternehmen QBF Deutschland kündigte Anfang 2019 einen SAT Solver an, der möglicherweise alle Instanzen des als schwierig geltenden Erfüllbarkeitsproblems der Aussagenlogik in polynomialer Laufzeit lösen kann. Vor einer Veröffentlichung des …
Bild: E1 Plus geht an den Markt - Das E1 Plus Netzwerk kommtBild: E1 Plus geht an den Markt - Das E1 Plus Netzwerk kommt
E1 Plus geht an den Markt - Das E1 Plus Netzwerk kommt
Nach einjähriger Entwicklungszeit steht die Maklersoftware jetzt zur Nutzung bereit und eine Erweiterung steht auch noch an. QBF Deutschland hat in einem Co-branding Projekt mit der E1 Holding zusammen eine Software für Immobilienmakler im Bereich Kapitalanlage Immobilien entwickelt, welche nun von den beiden kooperierenden Unternehmen vertrieben wird. …
Coverity entdeckt Race Conditions und Deadlocks, Software Qualitätsfehler und Sicherheitsschwachstellen
Coverity entdeckt Race Conditions und Deadlocks, Software Qualitätsfehler und Sicherheitsschwachstellen
… Entwicklungszyklus aufdecken, sondern auch Sicherheitsschwachstellen, z.B. Buffer Overflows und ungenaue Input Validations. Coverity wird auch die Leistungsfähigkeit der neuen False Path Pruning Solver aufzeigen, als Teil seiner neuen SAT-Engine, die auf Boolescher Satisfiability (SAT) basiert. Diese neue Form der Quellcodeanalyse nutzt eine zum Patent …
Bild: 14 weitere Standorte bundesweitBild: 14 weitere Standorte bundesweit
14 weitere Standorte bundesweit
Das Wiesbadener Unternehmen QBF mit derzeit zwei Standorten in den Landeshauptstädten Hessens und Thrüringens, plant 14 weitere in den übrigen Bundesländern. Der erste neue Standort soll das rheinland-pfälzische Mainz werden. Die Expansion solle zunächst in der Rhein-Main-Region voran getrieben werden. Die Geschäftsleitung favorisiere überdies Köln in …
Bild: Digitalisierung - nur erleben oder selbst gestalten?Bild: Digitalisierung - nur erleben oder selbst gestalten?
Digitalisierung - nur erleben oder selbst gestalten?
… E1, welche wohl auch für ihre Marktbegleiter von Interesse sein dürfte. Das junge Start-Up mit Sitz in Wiesbaden, hat es sich zur Aufgabe gemacht die in Deutschland so oft erwähnte Digitalisierung in die mittelständischen und kleinen Betriebe zu bringen. „Irgendwann muss jedes Unternehmen für sich selbst entscheiden, ob es Digitalisierung nur erlebt …
Bild: Coverity gewinnt Embedded World AwardBild: Coverity gewinnt Embedded World Award
Coverity gewinnt Embedded World Award
… gering ist. Zu verdanken ist dies der bit-akkuraten Software-Repräsentation durch das Software DNA Map Analysesystem sowie dem innovativen Einsatz der Boolean Satisfiability durch SAT Solver auf Ebene des Quellcodes. Diese prüfen unter anderem, ob sich Fehler im Code tatsächlich negativ auf den späteren Betrieb der Software auswirken. „Wir sind sehr …
Bild: Ist das Ende der Internetsicherheit erreicht?Bild: Ist das Ende der Internetsicherheit erreicht?
Ist das Ende der Internetsicherheit erreicht?
QBF Deutschland berichtete bereits Anfang des Jahres von der Entwicklung eines Algorithmus, der in der Lage sein soll, als schwierig geltende Probleme in kurzer Zeit zu lösen. Diese Entwicklung ist nun mit dem neuen QBF 3-SAT Type 2 oder kurz Q2 Algorithmus zu einem eindeutigen Ergebnis gekommen: Wir brauchen ein neues Sicherheitskonzept. Der Wiesbadener …
Ein Spielplatz für Wissenschaftler und solche, die es einmal werden wollen
Ein Spielplatz für Wissenschaftler und solche, die es einmal werden wollen
… Akademikern zusammenarbeiten. Die Materialien und die Ausstattung kommen natürlich von uns. Wir erhoffen uns daraus zahlreiche neue Ideen, wie QBF die Digitalisierung in Deutschland vorantreiben kann.“ Zum geplanten Eröffnungstermin konnte die Projektleitung noch keine genauen Angaben machen. Die Denkfabrik befinde sich derzeit noch in Planung. Allerdings sei …
Sie lesen gerade: QBF Deutschland kündigt SAT Solver mit Polynomiallaufzeit an